Friday, December 25, 2020

Friday, November 20, 2020

吉隆坡坤成中学2020高级数学II 预考 试卷一(选择题)及参考答案






参考答案若是有错,请不吝指正。谢谢!





Thursday, November 19, 2020

这些问题曾经困扰过我,你呢?

看了这题目,你会不会立刻想拿出计算机来计算?

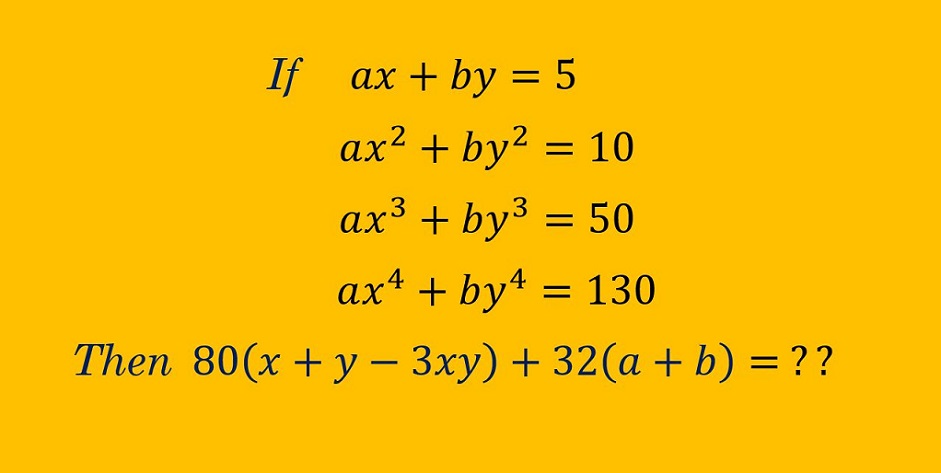
#😂计算机不是万能的.........



Monday, November 16, 2020

复杂根式 简单结果

初中同学来试试!
解:

Saturday, November 14, 2020

Thursday, November 5, 2020

高中学过代数,这一题你会解吗?


解答:

还有一个更快速简洁的方法:

Wednesday, October 28, 2020

2 = 1? 这怎么可能呢!?





这不是哥德巴赫猜想的 “1 + 1” 问题,这只是我和女儿之间的数学小游戏。她最近学了平方差公式之后,总觉得因式分解好有趣。
吃完晚餐后,把女儿唤了过来,准备表演一个 2 = 1 的魔术式的数学证明给她看。 我随手拿了一张纸写下
首先a 等于 b ,而且我们注明 a 和 b 都是实数,但不等于 0 。』我边写边说着。
 
『 你是说,除了 0, a 和 b 可以是整数,分数或小数?』女儿不确定的问。
 
『 正确。而且实数也包括无理数,就像妳之前学的平方根。』 
 
 『 哦...... 』她似乎开始清楚什么是实数了。



我接着说:『 我们要在等号两边各乘上 a ,然后这等式就成了 a 平方等于 ab 了。』
『 嗯, 这样做应该没问题 ......... 』女儿小心翼翼的检查着 ,好像怕把步骤跟丢了。
 
我微笑着问她 :『 那现在我在两边各减掉 b 平方,可以吗?』




 『 咦? 为什么要这样,你开始要变魔术了? 』

 
『 哈哈哈, 还没.... ,好,现在用你学的因式分解了,看.... 』
   


 『 等一下,我看看...... 。左边没问题。 嗯..... 右边呢? 也对哦! 』她边点头边说。
 
『 那我现在等号两边都除以(a-b),把(a-b)给约掉了。』我随手在两边用红笔各划了一下。


 

 她有点紧张又不解的问:『 等等....... 刚刚开始的时候两边乘以 b,现在却又把(a - b)除掉? 为什么要这样? 』
 

 『 先别问为什么,妳只要告诉我,这样做可以吗? 』 我觉得她开始发现有些蹊跷了。

 
『 嗯,看来这样做似乎是没问题的。』 她接着说明:『 我们学校功课也常这样做。』

 
『 好,那现在两边是不是剩下这?』 

 『 完全正确。 』她毫无疑惑的回答。我继续边说边写:『 由于 a 等于 b,那把 a 换成 b,就成了 2b 等于 b。』
这时女儿开始出现紧张的神情,好像小兔子会突然从帽子中蹦出来。 
 
 『 两边各除以 b。看! 现在,我们是不是终于证明了 伟大的 2 等于 1  !!! 』 我故意郑重的宣布!




 『 怎么可能? 2 怎么会等于 1 呢? 』 女儿一脸无法置信,盯着最后几个步骤自瞧,想看穿里面到底藏着什么偷天换日的手法。
 
我笑了笑安慰她说: 『 妳花点时间再检查几次,到底魔法藏在哪里?  也许,妳也看得出来哦!』
 

那聪明的你们,是否也看出魔法藏在哪了?







Saturday, October 24, 2020

Tuesday, October 20, 2020

坤成中学2019 高三 高级数学I 预试及答案